Psychologist Salary Grade Philippines
Masters Degree in Psychology. Associate Professor 4 Salary Grade 22 68415.

Job Openings Iloilo Science And Technology University
Salaries vary drastically between different Health.
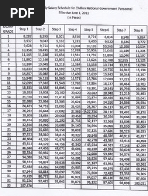
Psychologist salary grade philippines. Contract of Service Item Number. Associate Professor 1 Salary Grade 19 48313. Development Management Officer III.
2000 Jail Officers with Basic Salary of PhP 2966800 1 Trackback Pingback Qualification Standards for Fire Officer 1 FO1 2019 Regular Quota. Salary estimates based on salary survey data collected directly from employers and anonymous employees in Philippines. If you are a Psychiatrist Psychologist Counselor or Social worker in Philippines you can register your practice with us.
Median Salary The median salary is 150000 PHP per month which means that half 50 of people working as Clinical. Development Management Officer II. Visit PayScale to research psychologist salaries by city experience skill employer and more.
Coordinate and work with a team of psychologists for. Find out more about the differences between Psychologist Psychiatrists Counsellors and Social workers to help you in your. Masters degree in Psychology.
The median the maximum the minimum and the range Salary Range Clinical Psychologist salaries in Philippines range from 64000 PHP per month minimum salary to 221000. An entry-level Psychologist with less than 1 year experience can expect to earn an average total compensation includes tips bonus and overtime pay of 190000 based on 11 salaries. The average salary for Clinical Psychologist is 216912.
An entry level school psychologist 1-3 years of experience earns an average salary of 307658. This is the average monthly salary including housing transport and other benefits. Deputy Treasurer of the Philippines.
34 lignes High salaries help attract critical talents as well as retain those excellent. Important company in the sector. Salaries range from 13900 PHP lowest average to 199000 PHP highest average actual maximum salary is higher.
Home for Girls and Women HGW MINIMUM QUALIFICATION. Associate Professor 2 Salary Grade 20 54251. Development Management Officer I.
11 Area of Assignment. Salary estimates based on salary survey data collected directly from employers and anonymous employees in Philippines. In most cases a masters degree in psychology is the minimum training required although having a doctorate degree may be to your advantage.
In addition they earn an average bonus of 10479. The average school psychologist gross salary in Philippines is 427731 or an equivalent hourly rate of 206. 3 clinical psychologist Jobs in Philippines.
The average salary for a Psychologist in Philippines is 160000. Assistant Professor 4 Salary Grade 18 43681. RA 10029 Psychologist Education.
The pay of SG 1 workers will increase to Php 12034 in 2021 Php 12517 in 2022 and Php 13000 in 2023. A person working in Health and Medical in Philippines typically earns around 66600 PHP per month. Having the lowest raise of 8 are those within the highest salary grade range SG 25 to 33 particularly in the executive-level positions.
1 day ago Save Psychologist IIISG 18 Contract of Service. An entry level clinical psychologist 1-3 years of experience earns an average salary of 350335. 8 hours of relevant training on the delivery of psychological services which include psychological interventions psychological assessment and psychological programs.
Find out more salary information for Clinical Psychologist in Philippines. Development Management Officer IV. Industrial-Organizational Psychologist.
Development Management Officer V. With the therapist listing we hope to make your search for a professional Psychiatrist Psychologist or Counsellor from Philippines easier. 8 hours of relevant training on the delivery of psychological services which include psychological interventions psychological assessment and psychological programs.
Associate Professor 3 Salary Grade 21 60901. Registered psychologists with experience in clinical psychology and psychotherapy will be prioritized.
Https Www Dbm Gov Ph Wp Content Uploads Issuances 2014 Joint 20circular Jcno 1 Doh Dbm Pdf
Https Batac Gov Ph Wp Content Uploads 2019 07 Notice Of Vacant Position July 16 2019 Pdf
Https Www Dswd Gov Ph Issuances Mcs Mc 2008 002 Pdf
Health And Medical Average Salaries In Philippines 2021 The Complete Guide
Counseling Average Salaries In Philippines 2021 The Complete Guide
Professor Psychology Average Salary In Philippines 2021 The Complete Guide
R E P U B L I C O F T H E P H I Peso Balanga City Facebook
Clinical Psychologist Average Salary In Philippines 2021 The Complete Guide
Clinical Psychologist Average Salary In Philippines 2021 The Complete Guide
![]()
Criminology Jobs Salary In Philippines

Bulletin Of Vacant Positions In The Government Pdf Free Download
Pap Psych Practitioners In Public Service Sig Psychologist Mental Health Service Facebook
Professor Psychology Average Salary In Philippines 2021 The Complete Guide
Https Www Dbm Gov Ph Wp Content Uploads Issuances 2018 Budget 20circular Budget Circular No 2018 4 Pdf

Top 10 Most In Demand Jobs In The Philippines 2020 Grit Ph
Professor Psychology Average Salary In Philippines 2021 The Complete Guide
Https Www Dbm Gov Ph Wp Content Uploads Issuances 2018 Budget 20circular Budget Circular No 2018 4 Pdf
Post a Comment for "Psychologist Salary Grade Philippines"