Actuary Salary With 5 Exams
Similar to the salary for health actuaries life insurance actuary salary is middle-of-the-pack too. What salary does a Actuary earn in your area.
We gathered data from the Bureau of Labor Statistics B.

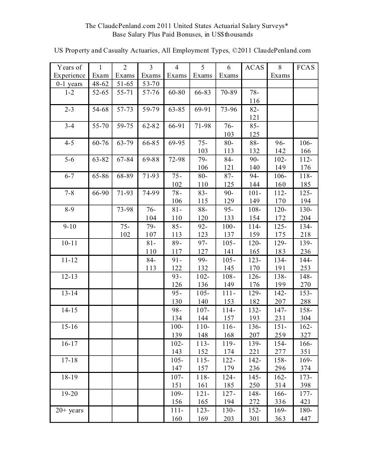
Actuary salary with 5 exams. In France the average annual salary of a junior actuary is 63 000 USD. Its very easy to enter in this profession but few people are able to complete this course Actuarial Science is long journey its take Average 89 years to complete this course. Starting salaries for entry-level US property and casualty actuaries with 0-1 year of experience by number of exams passed.
How much does an Actuary make in a yearIn this video we examine the average Actuary salary in 2019. Learn more about the actuary profession the average actuary salary by exams passed and other important details here. Many people recognise actuary as the other boring financial profession.
59-75K for 2 Exams Passed. 137 Actuary Salaries provided anonymously by employees. Is there anywhere to look for salaries with 0 years of experience for people with more than 4 exams.
Of course there is much variation and the precise starting salary for new trainee actuaries will depend upon factors such as location type of work size of the company and the number of actuarial exemptions. So how much does an actuary make. Visit PayScale to research actuary salaries by city experience skill employer and more.
If you like mathematics statistics and other financial stuff this article is for you. Im graduating college in May 2022. But it really depends on your definition of good money.
Fully qualified actuaries can make 150000 annually so most people would say actuaries make good money. Depends on what type of work youre in location and value added. 61-82K for 3 Exams Passed.
An actuarial student can start working at an entry-level position and earn an average salary of Rs. In Germany this salary can amount to 76 000 USD. Level 3 5-8 exams Recent Associate Sr.
If youre considering the actuarial profession its natural to wonder how much youre going to make. With 10 to 15 years of experience these amounts can exceed 90 000 USD in France and 110 000 USD in Germany and double or even triple that amount in team leader positions. Thats just slightly lower than a health actuary.
Life insurance actuaries starting with 2 exams will likely make somewhere between 51K 64K annually. 500000 to Rs600000 per annum. An actuary that is just starting out in the field with 2 actuarial exams passed can expect to make between 46000 and 71000.
Need some motivation to study for IFM today. Level 1 1-4 exams Jr. After all all those exams are going to take a lot of time to study for and you should be compensated for that.
But the fact is an actuary has more responsibilities beyond that. With an experience of. Ive met people in reinsurance who made this right out of college with 4 exams.
Thats just slightly lower than a health actuary. There are a few different ways we could look at this. Student actuaries in Ireland can expect a starting salary in excess of 30000 euros.
55-71K for 1 Exam Passed. The average salary for the fresher is around 35 lakh and the average salary for qualified Actuary with 15 years of experience is around 80- 90 lakh per annum. Level 2 3-6 exams Intermediate Analyst.
After 1 year experience 5 raise. But life actuary salaries tend to have lots of outliers that make more. Level 4 Recent Fellow Jr.
What about with 6 exams. In the United States the average remuneration is approximately 121 000 USD. So people chose to have a relaxed career instead of living in the stressful management shoes while being compensated.
Once the actuary has passed all 10 exams and gained 6-7 years of experience then 125000 to 190000 would be. After all actuarial exams are going to take a lot of t. Consider the actuarial salary compared to the amount of timeeffort it takes to become an actuary.
The average salary for an Actuary in India is 1000000. Most sites that list starting salaries have it for 1 or 2 exams maybe 3. Analyst Actuarial Associate 75k-95k.
22 lignes 2 Exams. What kind of beginning salary can be expected for a female with 5 exams passed. Candidates who have cleared 2 papers of IAI IFoA or any other foreign actuary institute recognised globally are offered a higher salary than BSc.

Pin By Venkat Naresh On Jobs Income Reports Accounting Jobs Assistant Jobs

What Is An Actuary Http Www Careercast Comjobsratedbestworstjobs2013

Pin On The Road To Graduate Business School Mba

Be An Actuary A Career Without Boundaries About
Actuary Average Salary In Saudi Arabia 2021 The Complete Guide

Materials Engineer Salary Pay Scale And Income Report For Materials Engineer Jobs In Us 2020 Accounting Jobs Income Reports Assistant Jobs

25 They Have A Chart That Shows All The Actuarial Exams That They Have To Take Someone Who Does Not Have A Stat Actuarial Science Take Exam Numerical Methods

Gilly J Sur Twitter Actuaries Use Mathematics Statistics And Financial Theory To Evaluate The Risk That An Event Like Death Sickness Or Natural Disaster Will Happen They Design Test And
Https Www Sc Edu Study Colleges Schools Artsandsciences Statistics Documents A Usc Student Guide To Becoming An Actuary Pdf

Actuary Salary Survey Actuary Jobs Actuary Actuarial Science Salary

Actuary Salary Survey Analyst Resume Resume Sample Resume

Physiotherapist Salary Payscale And Income Report For Physiotherapist Jobs In India 2020 Income Reports Job Entry Level Jobs

Customer Service Representative Csr Salary And Income Report In Us By Salaryhood 2019 2020 Accounting Jobs Income Reports Salary

Preparing A Trial Balance Free Zimsec Revision Notes And Past Exam Papers Trial Balance Basic Accounting Accounting Principles
Actuary Average Salary In Saudi Arabia 2021 The Complete Guide




Post a Comment for "Actuary Salary With 5 Exams"